缺氧池推流器故障导致氨氮超标
2022年6月27日,南通市通州生态环境局接江苏省污染源自动监控系统预警,显示南通市通州区东沙污水处理有限公司出水口氨氮连续超标。执法人员随即至该单位进行检查,现场检查时该单位正在运营,污水排放口正在排水,南通市通州生态环境局委托南通市生态环境监测站对该单位污水排放口排放废水进行采样监测。经监测,该单位污水排放口排放的废水中氨氮指标浓度为10.1mg/L,超过《城镇污水处理厂污染物排放标准》(GB18918-2002)中一级A类排放标准限值的1.02倍。该单位污水排放口位于长江浏海沙水道左侧,横港沙右边滩-3米等深海附近,受纳水体为Ⅲ类。
经调查,南通市通州区东沙污水处理有限公司是工业废水集中处理厂,主要负责江苏恒科新材料有限公司预处理后的工业废水和开沙岛区域的生活废水,进水量约为5000吨/天,处理工艺为原水-格栅-旋流沉砂池-均质调节-水解酸化池-A2/O-二沉淀池-滤布滤池-次氯酸钠消毒池-出水。2022年6月27日现场检查时,该单位正常运营,污水处理设施正在运行,废水总排口正在排放废水。执法人员现场调阅该单位出水口在线监控记录,发现氨氮数值自2022年6月26日16:00至2022年6月27日08:00连续超标,最高值为12.93mg/L(6月27日00:00)。经该单位现场工作人员排查,发现缺氧池内推流器损坏,故造成出水口氨氮超标预警。现场委托南通市生态环境监测站对排放废水进行采样监测,经监测废水中氨氮浓度超过《城镇污水处理厂污染物排放标准》(GB18918-2002)中一级A类排放标准限值。经后续调查,该单位于2022年6月27日12:00完成缺氧池内推流器维修,出水口氨氮数值于2022年6月28日2:00恢复正常。
该单位超标排放废水的行为违反了《中华人民共和国水污染防治法》第十条规定。2022年9月19日,南通市通州生态环境局与该单位签订生态环境损害赔偿协议,生态环境损害赔偿金额为4.7743万元。2022年10月10日,南通市生态环境局依据《中华人民共和国水污染防治法》第八十三条第二项之规定,处罚款人民币24.3289万元。
案例中氨氮超标是什么原因?
缺氧池推流器故障导致氨氮异常,笔者之前也遇到过,主要是推流器故障导致污泥大量沉积,生化系统中MLSS急剧减少,从而导致污泥的泥龄降低,泥龄低于世代期,会导致硝化菌无法在系统中聚集,形成不了优势菌种,所以对应的代谢物无法去除,氨氮超标。
什么是污泥龄?
污泥泥龄(一般SRT表示)是指曝气池中微生物细胞的平均停留时间。对于有回流的活性污泥法,污泥泥龄就是曝气池全池污泥平均更新一次所需的时间(以天计)。一般常利用系统稳定平衡运行时的池中的总泥量(MLSS×曝气池体积)除每日排除的剩余污泥量(或每日进泥量)计算求得活性污泥的泥龄!
泥龄必须不短于所需利用的微生物的世代期(世代期是指微生物繁殖一代所需的时间),才能使该微生物在生化系统内繁殖壮大。一般来说泥龄至少是细菌世代期的3-4倍。因脱氮要求较低负荷和较长泥龄,根据最新的室外给排水设计规范中,在单独脱氮中,泥龄控制在11~23d,在需同时脱氮除磷时,综合考虑泥龄的影响后,可取10~20d。
什么是世代期?
世代期,不同种类的微生物,具有不同的世代时间。所谓世代时间是指微生物繁殖一代所需的时间。如某种微生物群体以1000个繁殖成2000个需要2天的时间,则该种微生物的世代时间就是2天。如果某种微生物世代时间比活性污泥系统的泥龄长,则该类微生物在繁殖出下一代微生物之前,就被以剩余污泥的方式排走,该类微生物永远不会在系统中繁殖起来。反之,如果某种微生物的世代时间比活性污泥系统的泥龄短,则该微生物在被以剩余污泥的形式排走前可繁殖出下一代。因此这种微生物就能在系统中存活下来,并且呈增长趋势。
分解有机污染物的绝大部分微生物,其世代时间都小于3天,因此只要控制污泥龄大于3天,这些微生物就能在活性污泥系统生存下来并得以繁殖,用于处理污水。而硝化杆菌的世代期一般为5天,因此要在活性污泥系统中培养出硝化杆菌,将NH3-N硝化成NO3-N,则必须控制SRT大于5天。而网上流传最广的一个回复中的硝化菌世代周期为5天左右,反硝化世代周期为15天左右的说法千万不要信,已经不是一位小伙伴问这个问题了,正确的说法是,反硝化3天左右,硝化5天左右!
另外,SRT直接决定着活性污泥系统中微生物的年龄大小。SRT较大时,年长的微生物也能在系统中存在,而SRT较小时,只有年轻的微生物存在,它们的祖辈、父辈早已被剩余污泥带走。一般来说,年轻的微生物活性高,分解代谢有机污染物的能力强,但凝聚沉降性能较差,而年长的微生物可能已老化,分解代谢能力较差,但凝聚沉降性能较好。通过调节SRT,可以选择合理的微生物年龄,使活性污泥既有较强的分解代谢能力,又有良好的沉降性能。传统活性污泥工艺一般控制SRT在3〜5天。
污泥龄的长短与污水处理效果的关系
一方面是泥龄越长,微生物在曝气池中停留时间越长,微生物降解有机污染物的时间越长,对有机污染物降解越彻底,处理效果越好;
另一方面是泥龄长短对微生物种群有选择性,因为不同种群的微生物有不同的世代周期,如果泥龄小于某种微生物的世代周期,这种微生物还来不及繁殖就排出池外,不可能在池中生存,为了培养繁殖所需要的某种微生物,选定的泥龄必须大于该种微生物的世代周期。最明显的例子是硝化菌,它是产生硝化作用的微生物,它的世代周期较长,并要求好氧环境,所以在污水进行硝化时须有较长的好氧泥龄。
当污水反硝化时,是反硝化菌在工作,反硝化菌需要缺氧环境,为了进行反硝化,就必须有缺氧段(区段或时段),随着反硝化氮量的增大,需要的反硝化菌越多,也就是缺氧段和缺氧泥龄要加长。
泥龄是根据理论同时又参照经验的累积确定的,按照处理要求和处理厂规模的不同而采用不同的泥龄,德国ATV标准中单级活性污泥工艺污水处理厂的最小泥龄数值见《德国标准中活性污泥工艺的最小泥龄表》。
《德国标准中活性污泥工艺的最小泥龄表》中对规模小的污水厂取大值,是考虑到小厂的进水水质变化幅度大,运行工况变化幅度大,因而选用较大的安全系数。
无硝化污水处理厂的最小泥龄选择4~5 d,是针对生活污水的水质并使处理出水达到BOD=30 mg/L和SS=30 mg/L确定的,这是多年实践经验的积累,就像污泥负荷的取值一样。
有硝化的污水处理厂,泥龄必须大于硝化菌的世代周期,设计通常采用一个安全系数,以确保硝化作用的进行,其计算式为:
θc=F(1/μo)——(1)
式中
θc——满足硝化要求的设计泥龄,d
F——安全系数,取值范围2.0~3.0,通常取2.3
1/μo——硝化菌世代周期,d
μo——硝化菌比生长速率,d-1
μo=0.47×1.103(T-15)——(2)
式中
T——设计污水温度,北方地区通常取10 ℃,南方地区可取11~12 ℃
代入式(2)得:
μo=0.47×1.103(10-15)=0.288/d
再代入式(1)得:
θc=2.3×1/0.288=7.99 d
计算所得数值与《德国标准中活性污泥工艺的最小泥龄表》中的数值相符,它的理论依据和经验积累具有普遍意义,并不随水质变化而改变,因此可以在我国设计中应用。
在最新的《室外排水设计规范》2021年版中,对单独脱氮工艺,最小泥龄为11d,单独除磷工艺,最小泥龄为3.5d,而对于脱氮除磷工艺来说,最小泥龄为10天,与《德国标准中活性污泥工艺的最小泥龄表》相吻合!
泥龄的控制的手段
系统中总的污泥量MT包括曝气池内的污泥量Ma,二沉池内的污泥量Mc和回流系统内的污泥量MR,即:MT=Ma+Mc+M

当污水处理厂用SRT控制排泥时,可仅考虑曝气池内的污泥量,即MT=Ma。则

如果从回流系统排泥,则剩余污泥排放量MW=RSS·QW。
式中
QW——每天排放的污泥体积量,m3;
RSS——回流污泥的浓度,mg/L;
Me——二沉池出水每天带走的干污泥量,Me=SSe·Q;
SSe——二沉池出水的悬浮物;
Q——入流污水量。综合上式,每天的排污泥量
综合上式,每天的排污泥量

有人不考虑二沉池的水带走的污泥量Me。实际上,这部分污泥量占排泥量的比例不容忽视,尤其当出水SS超标时,更不能忽略Me。
【例题】某污水处理厂将SRT控制在5天左右,该厂曝气池容积Va为5000m3,试计算当天回流污泥浓度RSS为4000mg/L,混合液浓度为2500mg/L,出水SSe为30mg/L,入流污水量Q为20000m3/d时,该厂每天应排放的剩余污泥量。
解:将Q=20000m3/d,Va=5000m3,MLSS=2500mg/L,RSS=4000mg/L,SRT=5d代入式中,则每天应排剩余污泥量

这种计算简单,使用方便。适应进水流量波动不大的情况。当进水流量发生变动时,如果回流比保持恒定,则污泥量将在曝气池和二沉池中随水量的波动处于动态分配,此时的MT计算应考虑二沉池内的污泥量,即:
MT=Ma+Mc
泥龄SRT的计算公式为

Mc可用下式计算

式中 A——二沉池的表面积,m2(平方米,下同);Hs——二沉池内污泥层厚度,m。则每日排放剩余污泥量为

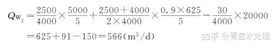
【例题】某厂曝气池有效容积Va=5000m3,二沉池表面积为625m2(平方米),泥龄SRT=5天,试计算当MLSS=2500mg/L,RSS=4000mg/L,二沉池内污泥层厚度Hs=0.9m,进水流量Q=20000m3/d,出水SS=30mg/L时,该厂每天应排放的排泥量?
解:将上述数据代入公式

锅炉之家客服热线:











