01 研究背景
对流域进行水文模拟时,需要流域的各项资料进行支撑。初始土壤含水量,能直接决定产流量,对径流数据产生较大影响。对植被与生态都较为稳定的地区而言,初始土壤含水量可依据经验取一默认值。然而,在高侵蚀性地区,由于缺少植被生态的保护,含水量更易受降雨,水分蒸发,地下渗漏等多种因素的影响,数值变化范围较大,难以确定选定计算时刻的初始值。派遣团队进行实地探测是一种解决方法,但探查费用以及等待的时间,是获取数值不可避免的代价,此方法性价比较低;并且只能探查实时数值,对历史数据无从知晓,而且在流域采点测量时,万一气候条件期间发生改变,对结果也会有影响,故总有较大的局限性。
本篇文章分享了一个确定土壤初始含水量的简易方法:在水动力仿真软件中通过调整初始土壤含水量来模拟出口流量,再以实测流量为标准进行率定,拟合效果最佳时,便可推求出土壤初始含水量,并尝试与前时段的降雨量建立对应关系,得出简易参考公式。对于缺少经验值的无资料地区,或者含水量长时间段变化范围较大的区域,使用此公式能够简易、快速、较为准确地推求初始含水量,有很大的参考作用。
02 案例展示
流域介绍
Sorbonne的研究人员选取了Roubine盆地的一处微型子集水区来开展研究,其位于法国南部阿尔卑斯山Bléone 河的支流,属于地中海山地气候,年平均降雨量 900 毫米,除冬季少雨外,其他季节均有降雨,且雨季集中在四月/五月和九月/十月,产流类型为Horton产流。该区域分为很多微型子集水区,出口水位均由INRAE的监测站进行了约 30 年的记录。

子集水区面积约为0.13公顷,陡坡约 35-45°,低植被覆盖率(21%),泥沙侵蚀明显,符合高侵蚀性的特征。输入数据方面,选用了1998年到2013年23个较大降雨事件和对应的出口流量过程(2 l/s 至 20 l/s) ,事件涵盖春季,夏季和早秋,覆盖范围较广。
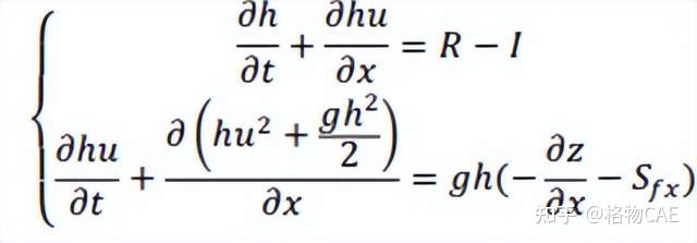
计算公式
计算原理方面,考虑到流域较小,汇流时间极短,故将降雨量直接当作河道的输入水量R;且降雨期气候湿润,故忽略流域的蒸发,将流域及河道的下渗量I作为水量的主要损失。那么,河道内便可构建出有源汇项的水量平衡方程,配合以运动方程,便可进行求解计算。

下渗量的计算借助Green-Ampt 下渗模型:

其中:
-hf 为润湿前峰的毛细压力水头 [m],为一常数
-积水深度h [m],可由上一时段推求
-土壤表面到湿润前沿的距离Zf [m],由土壤初始含水量θi,土壤饱和含水量θs,累计下渗量It的关系为如下:

-土壤导水率K [m/s],由土壤质地决定
那么,可以看出,下渗量I可表示为θi的函数,含水量变化范围为0~1。
网格构建
由于流域很小,地形数据获取较为容易,构建出密度为20cm的网格,下图为网格的二维及三维展示。

建立网格后,便可进行一维水动力计算。降雨数据作为输入文件,可按序导入模型。对于同一场降雨,可编写Fortran语言自动改变初始土壤含水量的值,以进行率定。下面展示几个降雨事件的模拟结果。
雨况模拟
对于短时间的强降雨,雨强超过40mm/h,绿线为模拟流量,蓝线为实际流量。主洪峰处较好的拟合了效果。

对于长历时的小降雨,模型计算值会出现震荡,可能是由低水深时摩擦力等物理数值的不稳定造成。在洪峰处的模拟还是较为准确。

对于多次降雨叠加形成的多洪峰,模型的模拟结果会出现较大偏差,对于多洪峰的率定标准还需要进一步的改进。

03 结果分析
总体分析
在完成多场降雨事件的率定后,可得到计算开始时刻的初始土壤含水量。另外计算出前一段时间的累计雨量,分析其间的关系。
下图为各月份先前15天累计降雨量和土壤初始含水量的点状关系。可发现,较高的初始土壤含水量一般也是由较大的先前降雨量造成的,与现实逻辑相符。

之后是对不同天数累计降雨量的显著性进行研究。分别进行了5天,10天,15天,30天累计降雨量的回归分析,发现15天和30天的累计降雨量与土壤初始含水量关系较大。

考虑季节
另外,还对不同季节的降雨事件分别进行了计算,得到对各时期更合适的累计计算天数,以求实际应用时更加准确。五月及六月算作春季,与30天累计降雨量关系最显著,相关系数为0.6。

七月至十月初期算作夏季及早秋,与15天累计降雨量关系较为显著,相关系数为0.47。

由此经验公式,可快速计算出初始含水量θi。如有需要,可带入水文产流模型计算出流量,再耦合二维水动力模型最终算出出口流量过程,同实测流量比较,验证数据准确性。
04 研究结论
本研究从Green-Ampt下渗模型出发,借助水动力计算,从实测出口断面流量反推出初始土壤含水量,并构建了其与先前累计降雨量的趋势关系,大大缩小了数值的设定范围。在面积较小,超渗产流为主的流域中,汇水时间较短,且调蓄作用不明显,可忽略汇水过程,从而将降雨量直接当作河道入流量,以进行河道演算,这种方法,将水动力模型的研究范围扩大至流域汇水过程。这款水动力仿真软件的可编辑性很强大,对有理论公式支撑的水动力模拟,都可以通过添加运行关键词来调用功能,也支持Fortran自行编写。如本文案例,就将降雨与下渗关联起来,以求解水流形态。
目前,国内对于无资料地区的水文预报,多借助遥感方法获取各种流域地理信息,如地形地貌、植被覆盖、土壤含水量等。本方法借助数值模拟的方式,由流量反推得初始土壤含水量,可用作对遥感测量的对比与验证。水动力计算模型可编辑性强,结果明确可信,对无资料及高侵蚀性地区的数字流域水文水动力推演预报有很大推进作用。
更多资讯可登录格物CAE官方网站
https://cae.yuansuan.cn/
或关注公众号【远算云学院】
远算在bilibili、头条、知乎、仿真秀定期发布课程视频等内容
敬请关注
锅炉之家客服热线:











