一、风管内的静压、动压、全压
管道中的气体,处在静止状态时只受静压作用;处在流动状态时,同时受到静压和动压的作用。
Pj--静压是单位体积气体所具有的势能,是一种力,单位为Pa,它的表现将气体压缩、对管壁施压。管道内气体的绝对静压,可以是正压(高于周围的大气压),也可以是负压(低于周围的大气压)。
Pd--动压是单位体积气体所具有的动能,也是一种力,单位为Pa它的表现是使管内气体改变速度,动压只作用在气体的流动方向,恒为正值。
Pq--在某一点上,动压和静压的代数和即为该点的全压,单位为Pa,表示单位气体所具有的总能量。
用公式表述三者的关系为:Pq=Pj+Pd 卓旗式2.9-1。
气体在管道中流动是管道两端气体的压差所引起的,除高温气体外为定容运动,由于断面变化引起流量随之变化,管内的动压和静压相互转化。由于管道阻力的存在,气体在流动过程中的压力不断下降。其能量变化用伯努利方程式来表达,截面1和截面2,其静压和流速分别用下标1、2表示,有:

式中△p---两截面间单位体积气体的能量损失(压力损失),Pa。
方程式表达了风管内气体的流速和压力之间的关系,△p表示全压损失。在封闭的管道系统中,当气体不流动时,沿管道长度上各点的压力相同,因为这时的动压为零,而全压等于静压。
二、 风管气体流动的阻力损失
气体在管道中流动时,各点的压力发生变化。动压变化是由于管道断面的改变,或者由于支管的汇合,使其中的流速改变而造成的,流速的变化也引起管道内静压的变化(动压与静压相互转化)。静压变化是由于气流流动与管壁之间的摩擦造成的压力损失(称为摩擦阻力)和气流通过各设备以及管道的弯头、三通等局部构件形成的压力损失(称为局部阻力)造成的(通风系统中忽略管道中各点高度的影响)。
1. 摩擦压力损失△pm
气体流动的摩擦压力损失与管道内的流速及管壁粗糙度有关,在通风管道系统中空气的流动状态多处于水力过渡区。单位长度摩擦压力损失Rm(Pa/m)按Darcy-Weisbach公式计算:

式中λ---摩擦阻力系数;
Rs---风管的水力半径,m。
注:水力半径Rs是管道的横断面积f与其周长p(湿周)的比值。对于直径为D的圆形管道,Rs=D/4;对于边长为a及b的矩形管道,Rs=ab/2(a+b) ;所谓湿周是过流断面上流体与固体壁面接触的周界,若两种不同的断面形式具有相同的湿周,平均流速也相同,则断面积越大,通过的流体越多,单位重量流体的能量损失也就越小,所以沿程损失与水力半径成反比。
于是,△pm=Rml (Pa)。
计算摩擦压力损失关键在于确定各种材质管道在不同流动状况下的λ,即:
λ=f (Re,K/D) 卓旗式2.9-4
式中Re---雷诺数;
K---风管材料的粗糙度,mm。
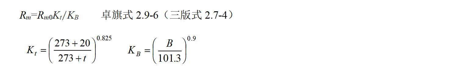
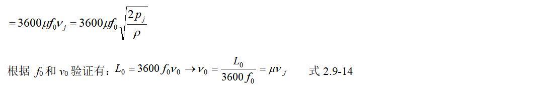
为了简化计算,通风系统设计时,可以使用通风管道单位长度摩擦阻力线算图或查阅《全国通用通风管道计算表》。通风管道单位长度摩擦阻力线算图是按过渡区的λ值,在大气压力B0= 101.3kPa、空气温度t0=20℃、空气密度ρ0=1.204kg/m3、运动黏性系数v0=15.06×10-6m2/s、管壁粗糙度K=0.15mm的圆形风管等条件下得出的。当实际使用条件与上述条件不符时,应进行相应修正:
(1)实际输送气体为非清洁空气时应进行密度和黏性系数的修正;

式中Rm---实际的单位长度摩擦阻力,Pa/m;
Rm0---图上查出的单位长度摩擦阻力,Pa/m;
ρ---风管内实际气体的密度,kg/m3;
v---实际气体运动黏性系数,m2/s。
(2)输送气体大气压和温度与B0= 101.3kPa、t0=20℃不符时应进行修正;

式中Kr ---管壁粗糙度修正系数;Kr=(Ku)0.25
K---管壁粗糙度,常见风管材料的K值见表2.9-1;
u---风管内气体流速,m/s。
卓旗表2.9-1常见风管材料的粗糙度K(三版表2.7-1)

对于矩形风管,可采取流速当量直径或流量当量直径进行查图。值得注意的是,采取流速当量直径时,应对应用流速和流速当量直径查图;采取流速当量直径时,应对应用流量和流量当量直径查图。
拓展说明:1)流速当量直径为2ab/(a+b)=4Rs。 2)在流速当量直径的定义下,矩形风管的流量与圆形风管的流量不同;同样,在流量当量直径的定义下,矩形风管的流速与圆形风管的流速也是不同的。
2. 局部压力损失△pz
通风管道是由各种不变断面的直管段和许多局部构件所组成的。局部构件种类较多,如弯头、渐扩管和渐缩管、三通管、调节阀以及各种送回风口等。空气流过这些局部构件所产生的集中能量损失即为局部阻力压力损失△pz(Pa)按△pz=ζρv2/2式计算,ζ通常由试验确定,可查阅有关专业手册,选用时要注意试验用的管件形状和试验条件,特别要注意ζ值对应的是何处的动压值。
局部阻力在通风、空调系统阻力中占有较大的比例,在设计时应加以注意。减小局部阻力的着眼点在于防止或推迟气流与壁面的分离,避免漩涡区的产生或减小漩涡区的大小和强度。下面介绍几种常用的减小局部阻力的措施:
(1)当气流流经断面面积变化的管件(如突扩管和突缩管),或断面形状变化的管件(如异形管)时,由于管道断面的突然变化使气流产生冲击,周围出现涡流区,造成局部阻力。扩散角大的渐扩管局部阻力系数也较大,因此尽量避免风管断面的突然变化,用渐缩或渐扩管代替突然缩小或突然扩大,中心角α最好在8°~10°,不要超过45°。
(2)三通内流速不同的两股气流汇合时的碰撞,以及气流速度改变时形成涡流是造成局部阻力的原因。两股气流在汇合过程中的能量损失一般是不相同的,它们的局部阻力应分别计算,对应两个阻力系数。当合流三通内直管的气流速度大于支管的气流速度时,直管气流会引射支管气流,即流速大的直管气流失去能量,流速小的支管气流得到能量,因而支管的局部阻力系数有时出现负值。同理,直管的局部阻力系数有时也会岀现负值。但是,直管和支管二者有得有失,能量总是处于平衡,不可能同时为负值。引射过程会有能量损失,为了减小三通的局部阻力,应尽量避免出现引射现象。在设计时应使支管和直管的流速尽量接近。
(3)管道布置时应尽量采取直线,减少弯管,或者用弧弯代替直角弯。弯管的阻力系数在一定范围内随曲率半径的增大而减小,圆形风管弯管的曲率半径一般应大于1~2倍管径;矩形风管弯管断面的长宽比愈大,阻力愈小,其曲率半径一般为当量直径的6~12倍。对于断面大的弯管,可在弯管内部布置一组导流叶片以减小漩涡区和二次流。
(4)气流进入风管时,由于产生气流与管道内壁分离和涡流现象造成局部阻力。气流从风管出口排出时,其在排出前所具有的能量全都损失。当出口处无阻挡时,此能量损失在数值上等于出口动压,当有阻挡(如风帽、网格、百叶)时,能量损失将大于出口动压,就是说局部阻力系数会大于1。因此,只有与局部阻力系数大于1的部分相对应的阻力才是出口局部阻力(即阻挡造成),等于1 的部分是出口动压损失。为了降低出口动压损失,有时把出口制作成扩散角较小的渐扩管,ζ值会小于1。应当说明,这是相对于扩展前的管内气流动压而言的。
三、均匀送风和静压复得法设计
1. 均匀送风
根据工业与民用建筑的使用要求,通风和空调系统的风管有时需要把等量的空气,沿风管侧壁的成排孔口或短管均匀送出。如图2.9-5所示,空气在风管内流动,若在风管的侧壁开孔,则有气流流出。若风管内的流速为vd,动压为pd,静压(垂直作用于管壁)为pj,有:


对于断面不变的矩形送(排)风管,采用条缝形风口送(排)风时,风口上的速度分布如图2.9-6所示。若定义送风侧和吸风侧为始端:1)送风管上,从始端到末端管内流量不断减小,动压相应下降(下降值大于阻力损失),静压增大,使条缝口出口流速不断增大;2)在排风管上则是相反,末端静压最小,因流量最小,所以动压也最小;越接近始端动压越大,因全压的绝对值也应增加,所以静压下降的幅度更大,管内外压差增大,条缝口入口流速不断增大。

以截面1,2为例:
对于送风管段:Pj1=50Pa,Pd1=40Pa,Pq1=90Pa;Pj2=57Pa,Pd2=29Pa,Pq2=86Pa,△p12=4Pa
动压减小的值复得了静压11Pa,除克服12间阻力4Pa,还使得2断面静压增加了7Pa。由于2断面的静压增加,导致静压流速增加。
对于排风管段:Pj1=﹣65Pa,Pd1=40Pa,Pq1=﹣25Pa;Pj2=﹣50Pa,Pd2=29Pa,Pq2=﹣21Pa,△p12=4Pa
(1)要实现均匀送风,可采取以下措施:
1)送风管断面积F和孔口面积f0不变时,管内静压会不断增大,可根据静压变化,在孔口上设置不同的阻体,使不同的孔口具有不同的压力损失(即改变流量系数)。
2)孔口面积f0和μ值不变时,可采用锥形风管改变送风管断面积,使管内静压基本不变(控制动压的减小)。
3)送风管断面积F及孔口μ值不变时,可根据管内静压变化,改变孔口面积f0(静压大则要求f0小)。
4)增大送风管断面积F,减小孔口面积f0。(类似于静压箱原理)
(2)实现均匀送风的基本条件
对侧孔面积f0保持不变的均匀送风管,要使各侧孔的送风量保持相等,必须保证各侧孔的静压pj和流量系数μ相等;要使出口气流尽量保持垂直,要求出流角α接近 90°。
1)保持各侧孔静压相等
两侧孔静压保持相等的条件是两侧孔间的动压降等于其间的压力损失,即:
Pd1-Pd2=(Rl+Z)1-2=△p1-2 卓旗式2.9-15
2)保持各侧孔流量系数μ相等
流量系数μ与孔口形状、出流角α及孔口流出风量与孔口前风量之比有关。
3)增大出流角
风管中的静压与动压之比值愈大,气流在孔口的出流角α也就愈大,出流方向接近垂直;比值减小,气流会向一个方向偏斜,这时即使各侧孔风量相等,也达不到均匀送风的目的。要保持α≥60°,必须使pj/pd≥3.0(vj/vd≥1.73)。在要求高的工程,为了使空气出流方向垂直管道侧壁,可在孔口处安装垂直于侧壁的挡板,或把孔口改成短管。
(3)侧孔送风时通路(直通部分)局部阻力系数和侧孔局部阻力系数(或流量系数)
通常把侧孔送风的均匀送风管看作是支管长度为零的三通,当空气从侧孔送出时,产生两部分局部压力损失,即直通部分的局部压力损失和侧孔出流时的局部压力损失。
直通部分的局部阻力系数可由表2.9-6查出,表中数据由实验求得,表中ζ值对应侧孔前的管内动压。从侧孔或条缝口出流时,孔口的流量系数可近似取0.60~0.65。
卓旗表2.9-6空气流过侧孔直通部分的局部阻力系数(摘自三版表2.7-6)

2. 静压复得法
一般将风道内风速小于15m/s的风道称为低速风道,由于风速低,与风机产生的主噪声源相比,风道系统产生的气流噪声可以忽略不计,广泛应用于民用建筑通风空调系统。风道内风速大于或等于15m/s时称为高速风道,高风速带来风道系统的气流噪声必须采取有效的处理,但可以缩小风道尺寸,节约建筑空间和材料初投资。静压复得法用于高速和高压系统的风管设计计算,其原理是利用两个出风口之间的动压降低复得静压,用于克服该段风管的阻力,可以保证风口处的静压相等。采用静压复得法进行风道设计,有利于减小风机动力消耗和噪声。实际上由于出风口有阻力损失,动压的降低值不可能100%转化为静压。
下面以一示例展示风管系统的压力分布及静压复得法的应用。
一通风系统进风口A断面的阻力损失为△p0=5Pa,进风段AB的阻力损失为△px=10Pa,风机的全压为P=135Pa,送风段AB的阻力损失为△p1=15Pa,△p1=20Pa,△p1=25Pa。则各断面的压力分布见图,D,E,F断面送风,因其静压均为60Pa,所以当送风口面积及流量系数一致则可实现均匀送风。

3. 槽边排风罩的楔形条缝口

在槽边罩的应用中,为使条缝口的速度分布均匀可采取楔形条缝的方法。值得注意的是,此处是条缝口的速度分布均匀而不是风量,控制条缝口速度分布均匀的目的是在控制点造成一致的控制风速。由于远端的静压风速小于始端的静压风速(远端静压绝对值小于始端静压的绝对值),所以调整条缝的高度,如此始端的高度小于远端,始端条缝口的局部阻力系数大于远端,流量系数则是小于远端,从而条缝口的风速v0=μvj保持一致。
全文完!
锅炉之家客服热线:











