
01 运行维护
工业汽轮机作为一种高速动力机械,结构复杂,并且附属设备较多,运行管理难度较大。所以对操作人员的素质要求也较高,必须熟悉汽轮机操作的有关知识、规程,在运行中精心操作,做好对各项工艺指标的监视和调整工作;及时发现和分析运行中出现的异常现象以及由于各种原因造成的事故,做到果断准确地处理,防止事故扩大,确保机组安全、经济、稳定运行。
1)蒸汽参数 蒸汽参数对汽轮机稳定运行影响很大,因为机组及其附属设备的性能是根据主蒸汽额定的压力、温度设计的,如果主蒸汽参数不符合规定,整个机组的性能也就要发生很大变化,原设计的性能就不能得到保证。另外,机组、附属设备和管道等的材料选择和强度计算也是根据主蒸汽额定的压力、温度制定的,如果主蒸汽参数与额定规范相差很大,会给机组的安全和寿命带来很大的影响,甚至很快就可能发生事故。因此对主蒸汽的参数必须严格按制造厂的要求进行控制,才能保证机组的性能和安全。
2)振动 振动是评价设备运行状况的重要标志之一,是机组各部件及诸方面运行情况的集中反映。旋转部件转动时产生的扰动力是引起振动的主要原因。机组振动过大可能造成紧固件松弛、轴承磨损、动静叶摩擦甚至汽轮机叶片疲劳断裂等。
汽轮机发生异常振动是指振动值超出一般允许的范围。振动急剧上升超出允许值,并无稳定趋势时,应立即停机。振动突然或慢慢上升超过一般允许值,但可稳定在一定范围,应及时进行分析和判断,采取措施直至停机进行处理。
引起汽轮机机组异常振动的因素多种多样,但从形成原因来看主要有三大类。
a. 结构方面的原因 即与机器设计、构造方面的缺点有关,这种原因是由制造厂带来的,如果不从结构方面采取措施则不易消除。
b. 安装方面的原因 机器在组合装配和现场安装方面的缺点造成的,这种异常振动如果确实找到原因的话,通过检修或重装可以消除。
c. 运行方面的原因 由于机器不正确的运行操作造成的,或者由于机器损伤或过度磨损形成的。这种原因通过正确操作、检修是可以克服和避免的。
结构方面的原因,属于设计、制造方面的问题,主要是制造厂的原因,后两种原因则与使用单位有关。
3)转子轴位移 转子轴位移是汽轮机运行中的一个重要监测指标,转子轴位移过大,能够引启动静部件间轴向摩擦,造成事故。所以当汽轮机转子轴位移增大时,说明汽轮机轴向推力增加或止推轴承工作失常,应立即减负荷,使轴位移降到正常值,同时检查推力轴承温度、机组振动等,找出原因并采取措施处理。严禁在转子轴位移超过规定值的情况下强行运行。
可能造成轴向推力异常增大的原因主要有以下几方面。
a.超负荷运行 超负荷运行时流量必然增大,超过正常值,机内各级前后的压力差变大,轴向推力增加。如果负荷超过过多、过猛而使流量猛增,可使轴向推力骤然增加,因此运行时要控制好负荷。
b. 级间密封磨损 喷嘴隔板轴封磨损过多,造成间隙过大,漏汽量增大。因为由间隙漏过的蒸汽未经过喷嘴,保持很大的压力,致使叶轮前面压力增高,造成轴向推力增加。因此保持良好的级间密封,不仅可以保证经济性,同时可以保证安全性。
c.叶片结垢 叶片结垢可使叶片通汽面积减少,使级前压力增加,造成叶片的反动度增加,使轴向推力增大。因此必须经常注意汽轮机“监视段”的压力,当监视段压力超过规定值时应当及时采取措施。
d.水冲击 当蒸汽中带水进入汽轮机时,可以引起水冲击,这时进汽温度急剧下降,从轴封和各结合面不严密处冒出白色的湿汽或溅出水点,汽管内可听见有水击声。由于水滴在轴向上打击叶片并且堵塞通道,使叶片前、后压差增大,使轴向推力大大增加。由于推力大大增加,推力瓦乌金温度和出口油温将上升,机组内产生金属噪声和水击声。
汽轮机发生水冲击时,必须采取迅速、果断措施,破坏真空,马上停机,并开启各疏水阀门,进行疏水,否则将会引起推力轴瓦熔化、轴封破坏、叶片碰毁等严重事故。
e.新蒸汽温度过低 新蒸汽温度过低时应当限制负荷并同时恢复新蒸汽温度。如果不能恢复正常初温则必须降低负荷,否则将引起流量大量增加,使轴向推力急剧加大。
f.负荷增加过快 当负荷突然快速增加时,流量突然加大,在叶片通道中的蒸汽加速、轴向分速度瞬时改变很大,使得叶片受到过大的轴向力,使整个转子轴向推力增加。
4)通流部分结垢 汽轮机是蒸汽热能动力机械,在蒸汽中含有盐分,但运行中大部分盐分随蒸汽的冷凝回到冷凝液中,有少部分在汽轮机的通流部分中结垢残留下来。通流部分结垢不仅影响汽轮机运行的经济性,还直接影响汽轮机的安全运行。
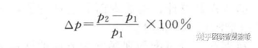
在进、排汽参数和通流部分有效流通面积符合设计时,汽轮机第一级后压力与通过汽轮机蒸汽流量成正比,如因结垢使流通面积小于设计值时,欲维持相同的蒸汽流量或功率,则第一级后压力与流通面积减小的程度成比例地增加。监视功率相同时汽轮机第一级后压力的变化可判断流通部分的结垢情况,通常称第一级后压力为监视段压力。
定期比较在同样操作条件下监视段压力的变化,若监视段压力缓慢上升则表示汽轮机通流部分有结垢产生。p1表示通流部分正常时监视段压力,p2表示结垢后的压力,压力的增长率△p达到某一限度时,应对汽轮机通流部分进行清洗。

预防汽轮机通流部分结垢的方法是严格监视锅炉给水的质量和蒸汽的品质,使其符合要求。汽轮机通流部分结垢后可采取不停机的办法清洗,用湿蒸汽或在湿蒸汽中加碱溶液清洗。前者可清除溶于水中的大部分盐分;后者还可除去大部分非溶于水的盐分。也可利用停机检修的机会对隔板和转子上的结垢进行清洗。不停机清洗应根据机组的设计规范,制定方案进行。
02 停机维护
汽轮机停机分为正常停机和事故停机。正常停机应逐渐减负荷,然后按停机规程逐渐停车。事故停机是在设备故障情况下,为了保证人身、设备安全而进行的紧急处理。
汽轮机正常停机时,要检查转子。切断汽轮机进汽后,转子因惯性作用会发生惰走情况,转子惰走时要用听棒倾听缸体内有无杂音。在同样条件下,当汽轮机转子惰走时间显著缩短时,说明转子可能与隔板、密封发生摩擦,或由于内部机件损坏发生碰刮;惰走时间明显加长时,一般说明进汽阀关闭不严密而漏气。
转子静止后要马上投入盘车,防止转子出现热变形。盘车时间应按制造厂的规定进行,制造厂无规定时,高压汽轮机连续盘车时间一般不少于12h,中压机组连续盘车时间一般不应少于8h,在蒸汽室上温度未降至150℃之前不得停止连续盘车。停止连续盘车后,每60min盘转180°,至汽室温度降至100℃。无连续盘车装置的机组,应在转子完全静止后,2h之内每隔10min盘转180°;2~4h内每隔30min盘转180°;4~8h内每隔60min盘转180°,直至蒸汽室上温度降至100℃为止。
汽轮机停机后,油系统应继续运行,以保证盘车时轴承润滑油的供应,同时也为了带走高温转子传给轴承的热量,防止轴瓦合金超温,一般当轴承温度低于43℃,轴承出口油温降到38℃以下时才可以停润滑油系。
锅炉之家客服热线:











