一、受力原理及近似计算方法
在地基反力作用下,扩展基础挑出部分将形成一个类悬臂梁结构,从而在宽展基础悬挑部分的各断面产生弯矩,台柱处弯矩最大。对于受弯构件,一般不配置竖向抗剪钢筋,出现施工缝后,由于施工缝处新旧砼的咬合力较差,出于安全考虑,在施工缝处理时往往采用植筋的方式植入竖向钢筋,用竖向钢筋承担全部施工缝处的切力,切应力的计算方法及竖向钢筋的配筋计算方法如下:
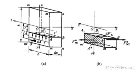
根据《材料力学》原理,在对称弯曲的横力弯曲情况下,梁的横截面上有切力,相应的将有切应力,如下图所示:

图中,微元表面dFs即为在弯曲作用下产生的切力,对于等截面矩形梁,在弯曲作用下的切应力计算公式如下:

其中:Fs:横截面上的剪力;
Iz:整个横截面对其中性轴的惯性矩;
h:横截面高度;
y:切应力平面距中性轴距离。
对于风机基础,由于扩展部分长度较长,可将扩展基础悬挑部分近似看做为矩形截面梁,施工缝处新旧混凝土之间的在弯曲作用下的切力,即可根据上述公式计算。如下图:

利用下式计算竖向抗剪钢筋面积:
Ft≤0.6fyAs
其中:fy:普通钢筋抗拉强度设计值;
As:抗剪钢筋面积;
Ft:施工缝处切力设计值。
二、实施方案
1、施工流程:
钢筋清理、除锈—剔除施工缝处松动砼,凿毛—涂刷界面剂—植筋—垃圾清理。
2、施工工艺:
1)钢筋清理、除锈。
因浇筑中断,未浇筑的基础部分,钢筋上粘满了混凝土,新浇筑混凝土之前必须清理掉,采用 500 公斤压力的高压水枪对钢筋上的混凝土进行清理。
2)剔除施工缝处松动砼,凿毛。
ü 在上层钢筋网片拆出一个方便施工人员进入内部的一个洞口,人工剔除、清除施工缝表面松动的砼及石子,混凝土凿除过程中注意不要损坏环向和竖向主筋。
ü 对施工缝表面混凝土进行凿毛处理:凿毛要轻微细致,深度控制在 5-10mm即可以达到要求,同时把混凝土表面浮浆及松软层全部剔除掉,大部分露出粗骨料,骨料外露75%即可。注意保证粗骨料不松散,避免条状,保证根部干净湿润,但不得有积水直至混凝土浇筑。
3)涂刷界面剂。
按设计厚度涂刷水泥砂浆类界面剂。
4)植筋。
(1) 测量定位:按设计要求测量分布植筋钻孔位置,并把测量植筋孔位置标识出来。
ü 钻孔:采用电锤成孔,如遇钢筋宜调整孔位避开,钻孔直径 d+4~10mm,d 为钢筋的直径 或按照植筋要求取最大值,钻孔时严格按设计要求施工要尽量避开原结构钢筋。钻孔周围灰尘清理干净,用气泵、毛刷清孔,清刷完毕后,要使孔洞内最终达到清洁干燥。
(2)清孔:钻孔完毕,检查孔深、孔径合格后将孔内粉尘用压缩空气吹出,然后用毛刷、棉布将孔壁刷净,再次压缩空气吹孔,应反复进行 3~5 次,直至孔内无灰尘碎屑,将孔口临时封闭。若有废孔,清净后用植筋胶填实。
(3)钢筋除锈:钢材锚固长度范围的铁锈、油污应清除干净,并打磨出金属光泽,采用角磨机和钢丝轮片速度较快。 锚固用钢筋必须做好钢筋表面浮锈清理,除锈长度大于锚固长度 5㎝左右,锚固用钢筋的型号、规格要严格按图纸设计要求选用,将所有处理完的钢筋码放整齐,现场负责人检查清理工作。
(4)植筋胶配置:植筋胶为甲、乙双组份掺配使用,配比参照植筋胶厂家给的比例。配胶宜采用机械搅拌,搅拌器可由电锤和搅拌齿组成,搅拌齿可采用电锤钻头端部焊接十字形Φ14 钢筋制成。也可用细钢筋棍人工搅拌。 取洁净容器(塑料或金属盆,不得有油污、水、杂质)和称重衡器按配合比混合。搅拌时最好沿同一方向搅拌,尽量避免混入空气形成气泡,胶应现配现用。
(5)植筋:垂直孔植筋将胶直接流、捣进孔中即可 水平孔植筋可用Φ6 细钢筋配合托胶板(干净木板)往孔内捣胶, 钢筋可采用旋转或手锤击打方式入孔,手锤击打时,一手应扶住钢筋,以避免回弹。 锚固胶填充量应保证插入钢筋后周边有少许胶料溢出。
(6)固化、保护:植筋胶有一个固化过程,植筋后夏季 12 小时内(冬季 24 小时内)不得扰动钢筋,若有较大扰动宜重新植。 植筋胶在常温、低温下均可良好固化,若固化温度在 25℃左右, 2 天即可承受设计荷载;若固化温度 5℃左右,4 天即可承受设计荷载,且锚固力随时间延长继续增长。对埋植好的钢筋应做好保护工作,以防在锚固用胶固化时间内,钢筋被摇摆或碰撞。
(7) 检验:植筋工作完成后 3~4 天,现场按照相关规范抽检率随机对植筋进行拉拔试验,并做好拉拔试验记录。
4)垃圾清理
施工完毕以后对整个施工现场的垃圾进行清理,包括施工中产生的混凝土渣、多余植筋胶、施工周边的生活垃圾等。
锅炉之家客服热线:











